WilliamHill中文官方网站
 学院首页  WilliamHill中文官方网站  新闻动态  党建工作  师资队伍  本科教育  研究生教育  学科与科研  学生工作  招生就业  下载中心  数据资源库 
 
当前位置: 学院首页>>数据资源库>>材料现代研究方法案例库>>正文
案例13:Sialon陶瓷的氧化行为分析
2022-11-17 刘向春 
[字号: ]

五、案例素材来源

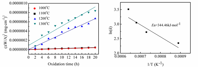
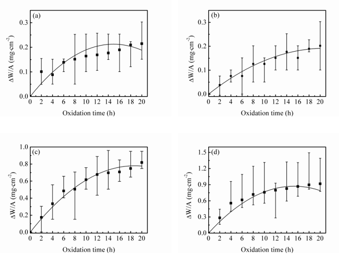
1. The preparation and oxidation behavior of Ca-doped α-Sialon ceramic with elongated grains. Journal of Alloys and Compounds,722 (2017) 400–405.






上一页 [1 2 3]
上一条:案例14:纳米碳化硅表征及表面特性
下一条:案例12:TiO2改性聚酰胺正渗透膜
关闭窗口
校领导带队深入材料学院实验教学中...
材料学院召开2022版本科专业人才培...
西安科技大学WilliamHill中文官方网站召...
材料学院成功召开就业·考研专题研讨会
周涛书记召开22级班团工作交流会
材料学院开展调研工作会
WilliamHill中文官方网站 | 组织机构 | 现任领导 | 学科简介 | 师资队伍 | 留言交流
                                  威廉希尔·williamhill(中国)中文官方网站 版权所有